Start
Spółdzielnia
Zarząd Spółdzielni
Rada Nadzorcza
Komisja Rewizyjna
Aktualności
Przetargi
Lokale użytkowe
Dokumenty
Akty prawne
Wzory Pism
Kontakt
e-czynsze
Wniosek o dostęp
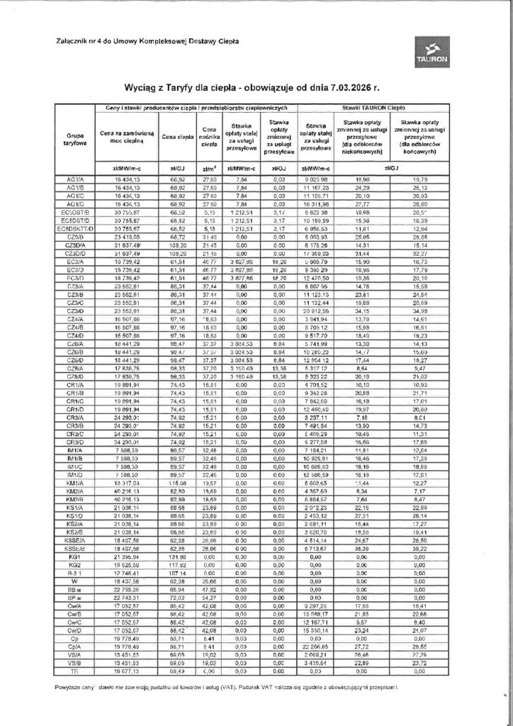
INFORMACJA O ZMIANIE TARYFY DLA CIEPŁA
PROTEST DOTYCZĄCY CEN CIEPŁA
7 września 2022
INFORMACJA DOTYCZĄCA BIEŻĄCYCH KOSZTÓW ZAKUPU ENERGII CIEPLNEJ
11 kwietnia 2023
0
Opublikowane przez
Spółdzielnia
o
1 lutego 2023
Kategorie
Aktualności
Tagi
Z dniem 13.01.2023 r. nastąpiła zmiana taryfy dla ciepła. Poniżej umieszczamy pismo z Tauron.
Zmiana taryfy dla ciepła spółki TAURON Ciepło