Start
Spółdzielnia
Zarząd Spółdzielni
Rada Nadzorcza
Komisja Rewizyjna
Aktualności
Przetargi
Lokale użytkowe
Dokumenty
Akty prawne
Wzory Pism
Kontakt
e-czynsze
Wniosek o dostęp
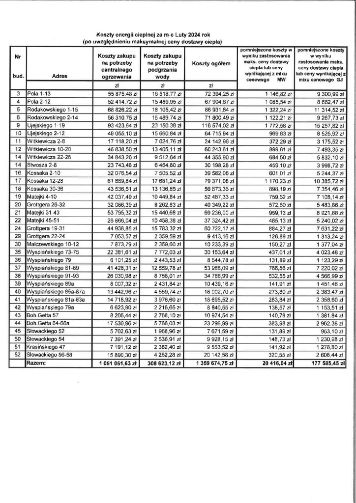
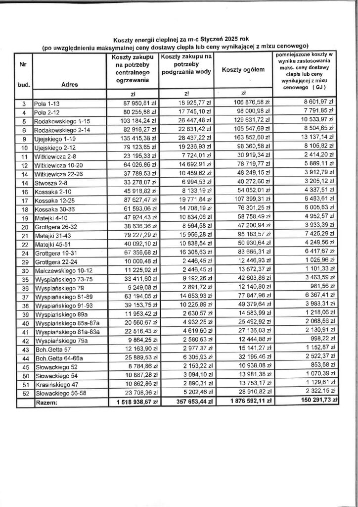
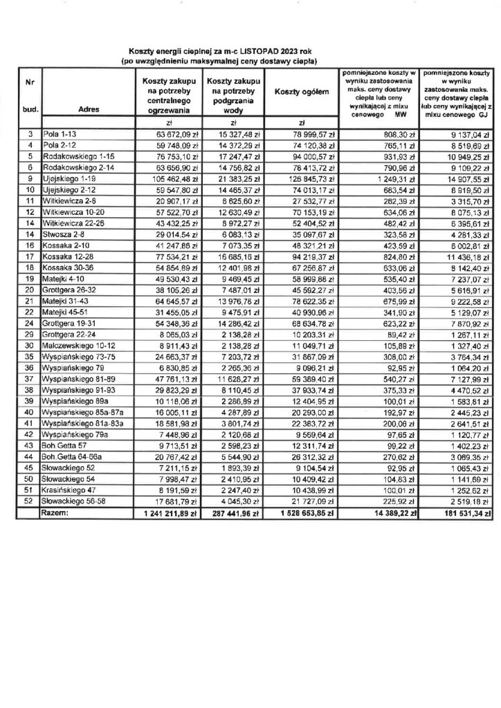
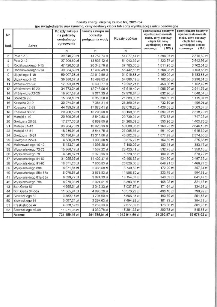
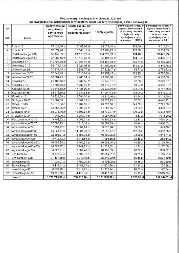
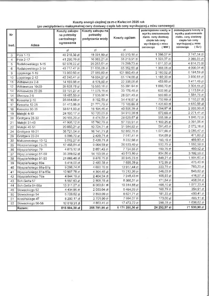
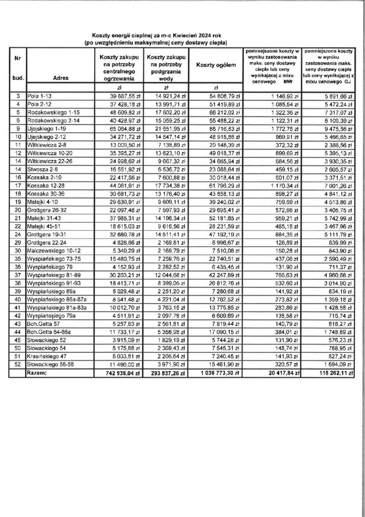
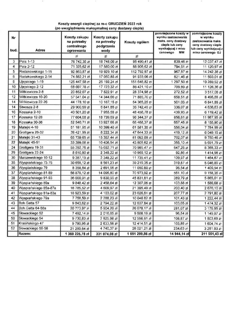
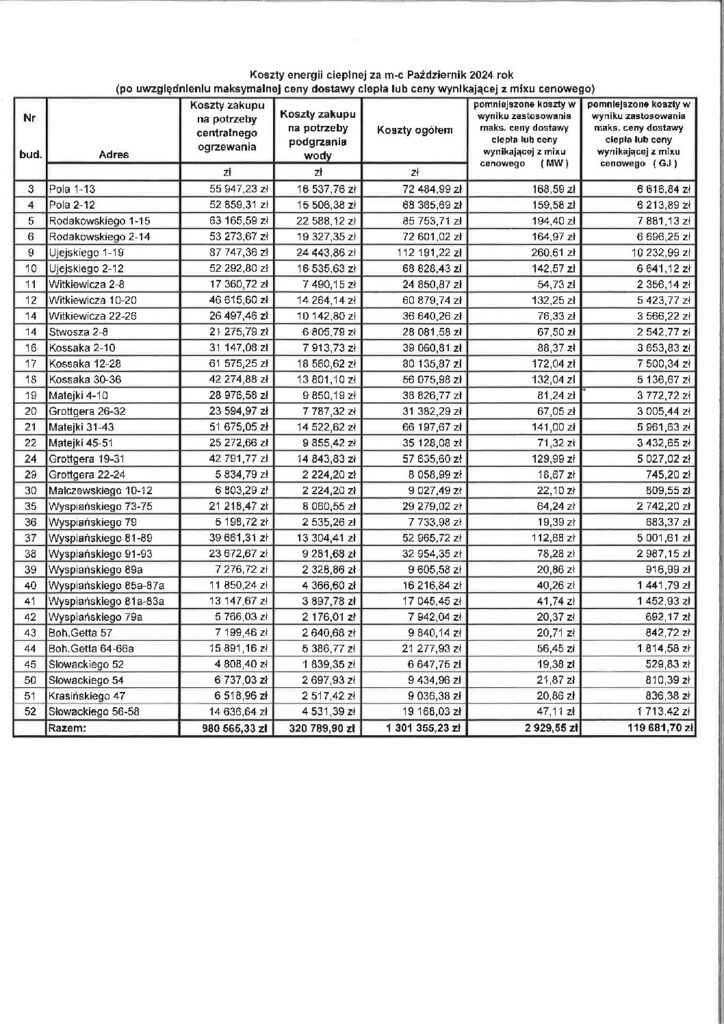
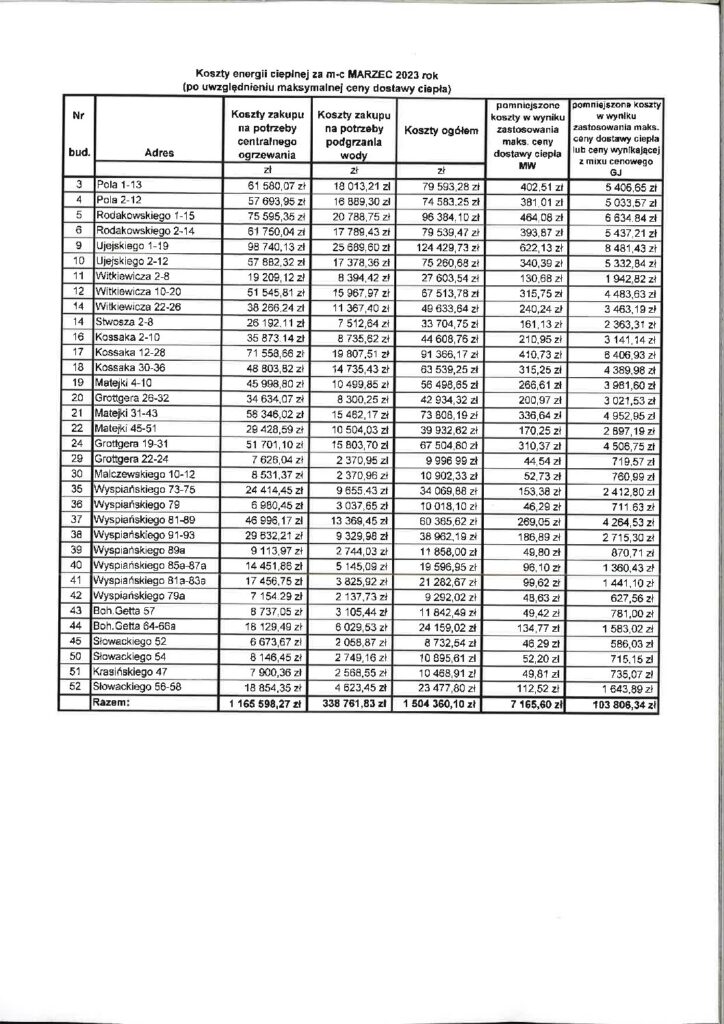
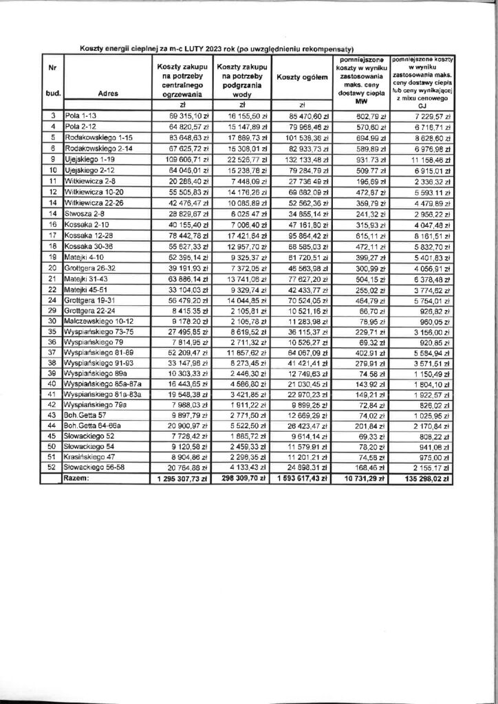
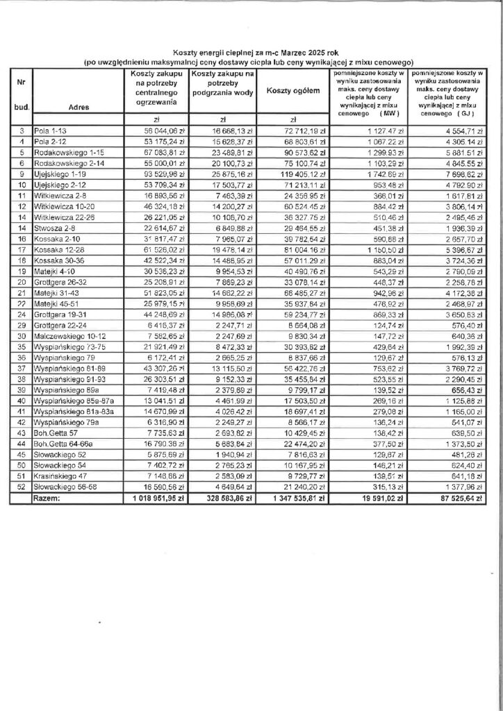
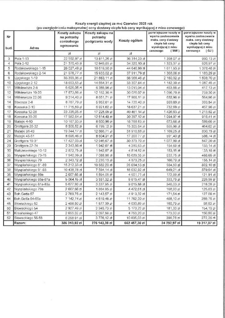
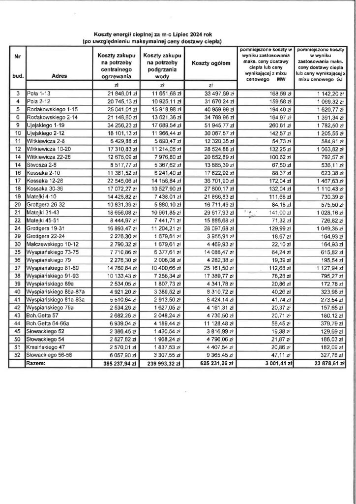
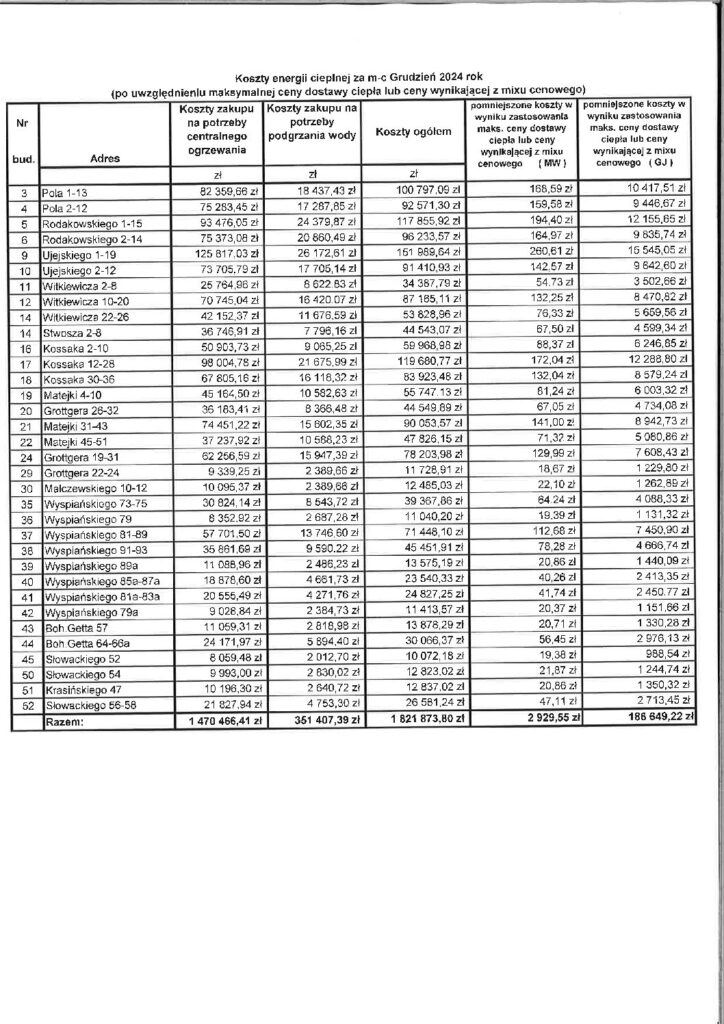
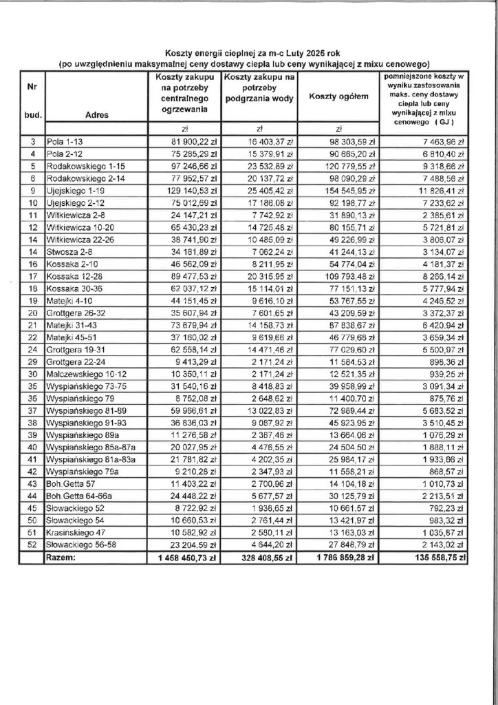
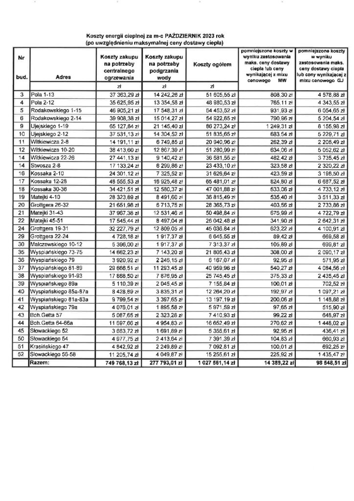
INFORMACJA DOTYCZĄCA BIEŻĄCYCH KOSZTÓW ZAKUPU ENERGII CIEPLNEJ
INFORMACJA O ZMIANIE TARYFY DLA CIEPŁA
1 lutego 2023
OSTRZEŻENIE
29 września 2023
0
Opublikowane przez
smsrodula
o
11 kwietnia 2023
Kategorie
Aktualności
Tagi